2022年5月,国务院印发《新污染物治理行动方案》,对新污染物治理进行全面系统部署,并提出明确的任务线:2025年年底前,初步建立新污染物环境调查监测体系。
禾信仪器新污染物“4+2”整体解决方案
禾信仪器针对新污染物的调查监测,已建立起完备的整体解决方案,凭借仪器的高灵敏度、高分辨率、高稳定性的技术优势,“靶向监测”和“非靶向筛查”双管齐下,完全满足痕量级别的新污染物监测要求。
本方案使用“4”台仪器完成“靶向监测”,对已知化合物进行准确的定量分析,同时使用“2”台仪器完成“非靶向筛查”,对未知化合物进行全谱的定性分析,不放过任何一个隐藏的污染物。


方案优势
1.依据行业标准HJ以及国家SOP开发应用,实验操作与国家统一,数据具有可参考性、可比性。
2.提供良好的技术支持,应用工程师上门提供定制化的应用培训,协助方法开发。
3.快速优质的售后,核心零部件已实现国产化,可完全避免进口仪器周期长、维修难、价格贵的问题。
4.丰富的自动在线监测方案,可提供自动在线监测的LC-MSMS和GC-MSMS解决方案。
5高品质的质谱产品,仪器性能达到或优于国家标准的要求,运行稳定,是您可靠的实验伙伴。
相关产品
01.三重四极杆液质联用仪 LC-TQ 5200
新污染物中全氟化合物、抗生素、内分泌干扰素、六溴环十二烷等化合物含量低、组分多、易残留。LC-TQ 5200具备灵敏度高、扫描速度快、抗污染能力强等优势,在新污染物重点管控物质的定量拥有稳定的表现。

应用案例:全氟化合物PFAS检测
参考标准:
DB 32/T 4004-2021《水质17种全氟化合物的测定高效液相色谱串联质谱法》。
检测结果:

使用三重四极杆液质联用仪LC-TQ 5200进行水样中全氟化合物的分析,最低检出限达到ppt级别。方法验证结果表明:方法检出限、精密度、正确度满足标准方法的要求。
02.气相色谱质谱联用仪 GC-MS 1200
持久性有机污染物(POPs)在工业和生活中应用广、种类多、含量不一。在分析POPs方面,GC-MS 1200具有高分辨率、高灵敏度和高选择性的特点,满足对复杂样品中POPs进行定性和定量分析的要求。

应用案例:持久性有机污染物(POPs)

满足标准方法:
HJ 835-2017有机氯农药标准要求。
-标准曲线相关系数R²均大于0.995;
-精密度为3.94%-18.55%;
-土壤加标回收率为68.6%-121.9%;
-方法检出限在0.01mg/kg-0.06mg/kg范围内。

满足标准方法:
HJ 909-2017 多溴二苯醚标准要求。
-标准曲线相关系数R²大于0.997;
-精密度为6.4%-8.8%;
-基质加标的方法检出限为0.2 μg/L 。

满足标准方法:
HJ 715-2014 多氯联苯标准要求。
-标准曲线相关系数R²均大于0.995,精密度为4.76%-14.39%;
-水样加标回收率为74.8%-102.7%;
-方法检出限在1.06ng/L-2.17ng/L范围内。
03.三重四极杆气质联用仪 GC-TQ 6000
德克隆是一类添加型含氯阻燃剂,广泛应用于电线电缆、电脑连接件、塑料屋顶等材料中,在环境中含量极低。GC-TQ 6000优异的信噪比和灵敏度对痕量目标物有良好表现,更好地匹配德克隆的测试。

应用案例:德克隆的检测

检测结果
-两种德克降化合物的线性相关系数R²均大于0.9995;
-地表水基质加标精密度在4.82%-6.70%范围,加标回收率在90.5%-102.1%范围;
-方法检出限范围为0.14 ng/L-0.17 ng/L。
上述结果表明GC-TQ 6000具有优异的重现性和检测灵敏度,满足地表水中德克隆检测需求。
04.四极杆飞行时间液质联用仪 LC-QTOF 7000
非靶向筛查是一种分析方法,通过使用高分辨质谱仪器,在不知道具体目标化合物的情况下对复杂样品进行分析,识别和定性未知的化合物。
四极杆飞行时间液质联用仪凭借其独特设计,同时获得了高分辨率以及优异的定性定量能力,利用其高分辨率对物质的精确质量数进行测定,在短链氯化石蜡SCCPs等复杂有机化合物的定量及非靶向物质的识别中,具有无可比拟的优越性。

靶向监测应用案例:测定短链氯化石蜡



检测结果:
LC-QTOF 7000具有优异的重现性、检测灵敏度和高分辨性能,满足标准要求。
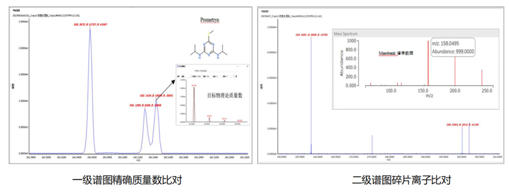
非靶向筛查应用案例:养殖水体中农药残留鉴定分析


检测结果:
LC-QTOF 7000能够在分子量相差0.015amu的质干扰中,精准识别目标物-扑草净。
05.全二维气相色谱-飞行时间质谱 联用仪GGT-0620
新污染物非靶向筛查利器全二维气相色谱-飞行时间质谱联用仪,凭借其强大的二维气相分离能力、全谱采集的能力,对未知化合物、多组分复杂样品的全组分分析具有极强的优势。


全二维气相色谱-飞行时间质谱联用仪利用不同极性的二维色谱柱分离出更多共流出化合物,搭配飞行时间质谱全谱采集,大大提升复杂基质中痕量化合物的识别。
应用案例:环境某地表水中未知化合物分析

检测结果:
识别出约531种挥发性成分,为未知化合物筛查提供数据支撑。


您的位置:


